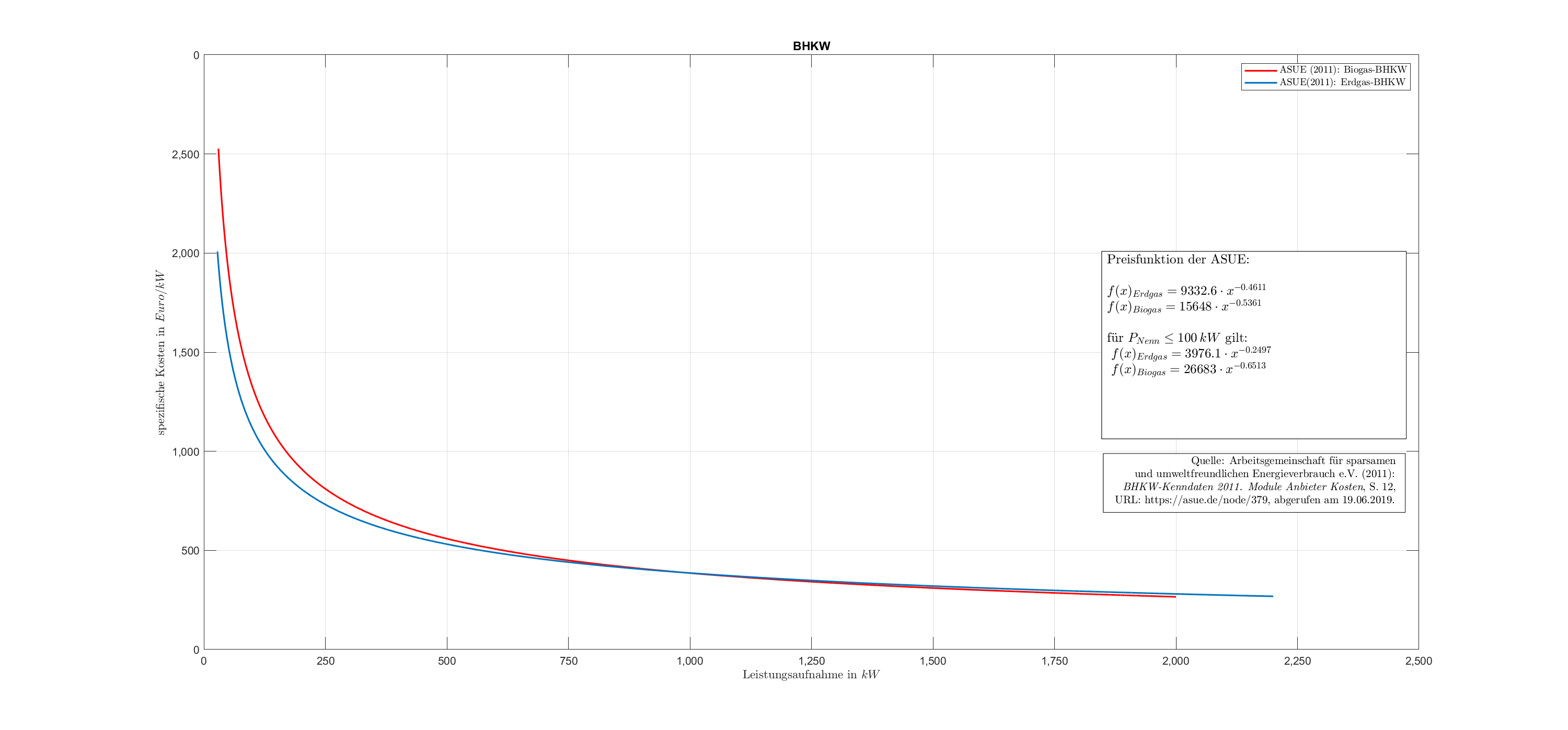
Blockheizkraftwerk