Relevante Energieformen
Gespeicherte Energieform:
- hydrostatische Energie
Kurzbeschreibung
Blasenspeicher sind in der Praxis weit verbreitete Druckflüssigkeitsspeicher, bei denen Druckflüssigkeit und Stickstoff durch ein Elastomer von einander getrennt werden. Blasenspeicher sind nahezu wartungsfrei und besitzen eine hohe Dynamik (sehr trägheitsarm, sehr schnelles Ansprechverhalten). Aufgrund der bestehenden Beschädigungsgefahr der Blase sollte das Flüssigkeitsvolumen nicht vollständig entnommen werden. Hinsichtlich des maximalen Druckverhältnis sollte ein Wert von 4 nicht überschritten werden. Bei Blasespeicher ist der senkrechte Einbau verbreitet. Die Schadensanfälligkeit ist als relativ hoch zu bewerten.
Funktionsskizze

Technische Zeichnung (Gebhardt/Will 2014)
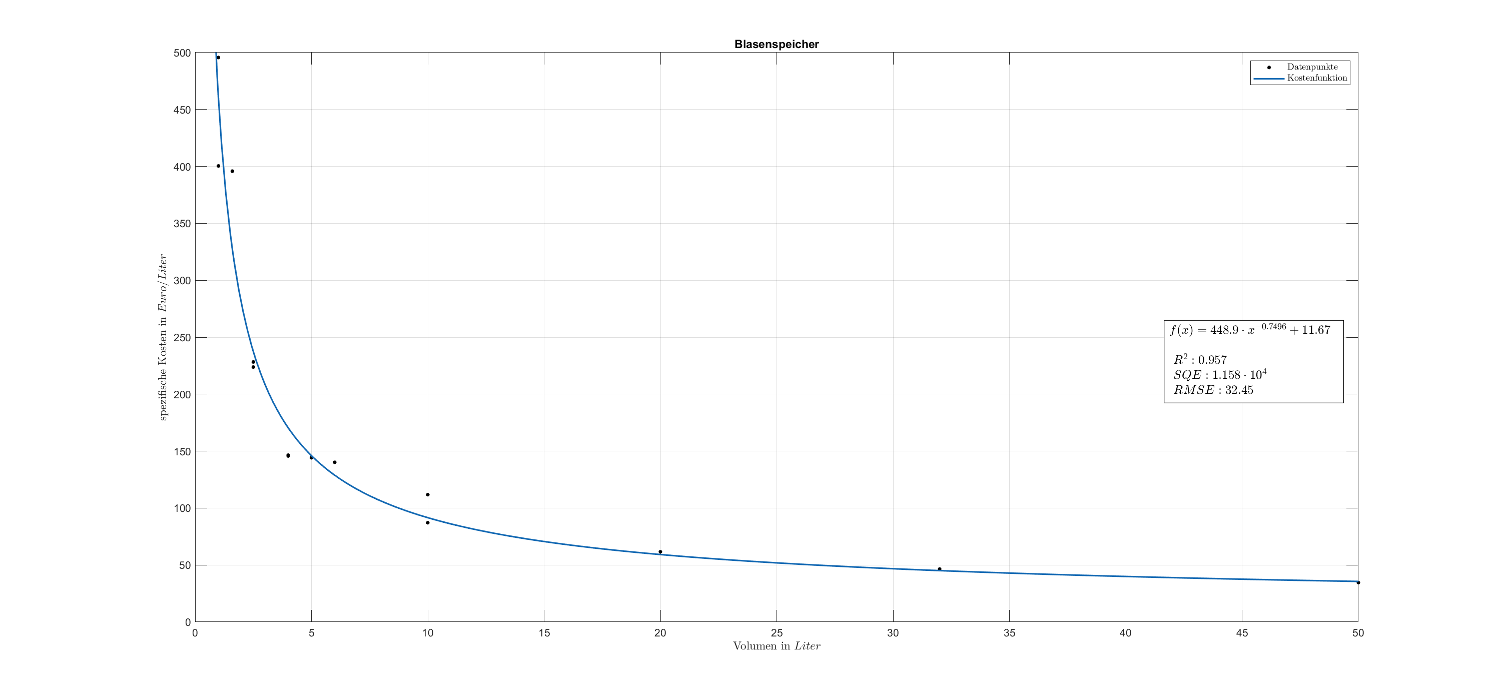
Berechnung des Umwandlungswirkungsgrades, typische Werte
Verlustleistung bei der Speicherung eines Fluids in einem Blasenspeicher sind bei einem leckagefreiem Betrieb sehr gering und hauptsächlich durch die Temperatur beeinflusst.
Betriebs-Charakteristika
| Bauart | Hochdruck-Blasenspeicher | Niederdruck-Blasenspeicher | Anmerkung | ||
| Typische Be- und Entladeleistungen | einsatzabhängig, prinzipiell hohe Dynamik | ||||
| Typische Verlustleistungen in Abhängigkeit des Alters des Speichers | keine 100%ige hermetische Abdichtung dzw. Gas und Fluid möglich –> Gasverlust ca. 1-10 % im Jahr | ||||
| maximales Druckverhältnis p2/p0 | 4 | 4 | |||
| Nutzungsgrad Θ = ΔV/V0 | < 0,6 - 0,75 | ||||
| Baugröße V0 dm3 | 0,2 | 50 | 2,5 | 500 | minimale und maximale Werte |
| max. Druck p2 in bar | 550 | 40 | |||
| Gasfülldruck p0 in bar | 137,5 | 10 | berechnet | ||
| min. Druck p1 in bar | 152,75 | 11,11 | berechnet | ||
| Speichervolumen V1 in dm3 | 0,18 | 45,00 | 0,63 | 125,00 | isotherm (n = 1) |
| 0,19 | 46,38 | 2,32 | 463,75 | isentrop (n = 1,4) | |
Energetische Kennwerte
| Bauart | Hochdruck-Blasenspeicher | Niederdruck-Blasenspeicher | Anmerkung |
| Verfügbare Leistungsklassen (kW) | keine Angaben je nach Einsatzgebiet | ||
| Verfügbare Kapazitäten (Wh) | von: 1,01 | von: 0,26 | optimales Druckverhältnis p1/p2 für isotherme Zustandsänderung = 1/e = 0,368 |
| bis: 253,00 | bis 51,11 | ||
| von: 0,87 | von: 0,79 | optimales Druckverhältnis p1/p2 für adiabate Zustandsänderung = 0,308 | |
| bis: 218,22 | bis 158,71 | ||
| Volumetrische Speicherdichte kWh/m3 | 5,06 | 0,32 | maximal |
| Typische Verlustleistungen in Abhängigkeit der Kapazität | nein | bei 100 % Dichtheit | |
| Typische Verlustleistungen in Abhängigkeit des Ladezustandes | nein | bei 100 % Dichtheit | |
| Speichernutzungsgrad (Verhältnis der benötigten Ladeenergie und der gelieferten Energie) |
nahezu 100 % | trägheits- und reibungslose Verformung der Elastomerblase | |
Technologische Kennwerte
| Bauart | Hochdruck-Blasenspeicher | Niederdruck-Blasenspeicher | Anmerkung |
| Negative Aspekte der Ökobilanz (alle Lebensphasen) | End of Life (z. B. Recycling) | End of Life (z. B. Recycling) | verwendete Fluide |
| Gefährdungspotential (niedrige Drücke und Temperaturen, keine giftigen oder explosiven Stoffe) | überschaubares Gefährdungspotential | überschaubares Gefährdungspotential | |
| Systemkomplexität | einfach durch Laien zu bedienen aber viele Bauelemente /technisch komplex | einfach durch Laien zu bedienen aber viele Bauelemente /technisch komplex |
Subjektive Technologie-Portfolio-Analyse
| Technologieattratktivität | Industrielle Umsetzbarkeit | Umsetzbarkeit | Ist es technisch denkbar, diese Technologie zur Bereitstellung von Energieflexibilität einzusetzen? (Grün = Ja, Gelb = Ggf., Rot =Nein) | |
| Komplexität | Wie komplex wäre der Einsatz dieser Technologie zur Bereitstellung von Energieflexibilität? (Grün = einfach, Gelb = eher komplex, Rot = sehr komplex oder nicht möglich) | |||
| Anwendbarkeit bei Industriepartnern | Wäre eine Flexibilisierung solcher Anlagen bei Industriepartnern direkt möglich? (Grün = Ja, Gelb=Nur mit größeren Umbaumaßnahmen, Rot = Nein) | |||
| Einsatzhäufigkeit und Verbreitung | Verbreitung in Deutschland | Wie ist der Verbreitungsgrad der Technologie in Deutschland einzuschätzen? (Grün = hoch, Gelb = mittel, Grün = niedrig) | ||
| Umrüstaufwand und Integration | Technology Readiness Level | Wie weit ist die Technologie entwickelt? (Grün = TRL 7-9 Gelb = TRL 4-6, Rot = 1-3) | ||
| Umrüstaufwand zur nachträglichen Integration | Wie wird der Aufwand zur Befähigung der Anlage eingeschätzt? (Grün = niedrig ,Gelb = mittel, Grün = noch) | |||
| Ressourcenstärke | Übertragbarkeit | Übertragbarkeit | Wie gut lässt sich eine Lösung zur Flexibilisierung dieser Anlage auf andere Anlagen übertragen? (Grün = Technologien sind immer ähnlich aufgebaut, Lösungen sind also übertragbar, Gelb = Keine Aussage möglich, Rot = Sehr Prozessspezifisch bzw. standortspezifisch) | |
| Wirtschaftlichkeit | Spezifische Speicherkosten | Wie hoch sind die spezifischen Speicherkosten (Grün = niedrig , Gelb = mittel, Rot = hoch) | ||
| Spezifische Platzbedarf | Wie groß ist die volumetrische Speicherdichte (Grün = Hoch, Gelb = Mittel, Rot = Niedrig) | |||
| Speicherverluste | Wie groß ist die Verlustleistung über die Zeit? (Standverluste, Grün = Langzeitspeicher Gelb = Stundenspeicher, Rot = Kurzzeitspeicher) |
Entwicklungstendenz
Massenreduzierung mithilfe von Aluminium oder Composite-Werkstoffen unter Berücksichtigung der Anforderungen aus dem Leichtbau, Verwendung von Speichern mit alternativen Medien (gasseitig) –> anstatt Stickstoff z.B. He, CO2, Silikonpartikel
Zusammenfassung genereller Vor- und Nachteile
Vorteile
- hohe Dynamiken
- sehr geringe Verluste
Nachteile
- Nutzungsgrad geringer als bei Membran- oder Kolbenspeichern
- hohe Schadensanfälligkeit
Anwendungsbeispiele
Siehe Steckbrief hydraulische Speicher im Allgemeinen
Literaturverzeichnis
- D. Will, N. Gebhardt (2014.), Hydraulik, Spinger-Verlag Berlin Heidelberg, DOI 10.1007/978-3-662-44402-3_9

